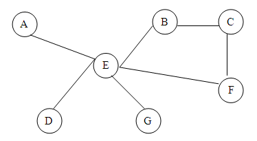
Alias הוא למעשה העתק של טבלה. בואו נסתכל על הסכמה הקודמת.

אם לצורך העניין טבלה B היא טבלת מוצרים וטבלת F טבלת לקוחות, C יכולה להיות טבלת ארצות שמצד אחד היא מפענחת את קוד ארץ המוצר בטבלה B (מוצרים) ומצד שני היא מפענחת את קוד ארץ המוצר בטבלה F (לקוחות). מכיוון שכך, נוכל ליצור העתק של טבלה C, אשר ישמש אותנו לפענוח נוסף של ארץ. כמתואר בסכמה הבאה :

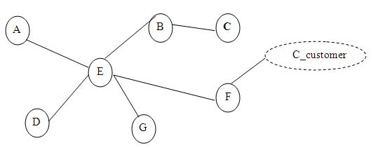
יצרנו העתק של טבלת C הבנויה על אותה טבלה פיזית בדיוק , אך מבחינה לוגית היא טבלה עם שם אחר (לצורך העניין קראנו לה c_customer).
פתרנו את עניין הloop, אך יחד עם זאת, נצטרך ליצור אובייקטים נפרדים לכל אחד מהטבלאות הלוגיות.
לדוגמא:

כפי שאנו רואים, למוצרים וללקוחות יש אובייקטים נפרדים. יחד עם זאת, יש לשניהם קבוצה של אובייקטי ארץ (ארץ מוצר \ ארץ לקוח). האובייקטים זהים, אלא שהאובייקטים של ארץ מוצר בנויים על הטבלה , בעוד שהאובייקטים של ארץ לקוח מבוססים על Alias של הטבלה.
מבחינת SQL: אם ניקח אובייקט מ"ארץ מוצר", נקבל:
Select …
From countries
בעוד שאם ניקח אובייקט מ"ארץ לקוח", נקבל:
Select …
From countries customer_countries
הערה: לצורך הדוגמא, השתמשנו בcustomer_countries כalias.
